CORONA Virus, wirtschaftliche Folgen, med. Informationen

  • "nennt sich Rechtsbeugung"

    Die Nummer ist noch nicht durch und ich glaube mich zu erinnern, dass dem Richter mittlerweil Juristen beigesprungen sind, die es nicht als strafbar angesehen haben und auch die Zuständigkeit seiner Kammer sahen. Immerhin ein Hoffnungsschimmer.

    "Im alten Rom hat ein Senator vorgeschlagen, man sollte alle Sklaven mit einem weissen Armband versehen, um sie besser erkennen zu können. „Nein“, sagte ein weiser Senator, „Wenn sie sehen wie viele sie sind, dann gibt es einen Aufstand gegen uns.“


  • Der weltweit anerkannte Epidemiologe Dr. Harvey Risch (emeritierter Professor an der Uni Yale) schlägt Alarm wegen der rasant steigenden Zahl von Turbo-Krebsen, die sich seiner Meinung nach dramatisch ausbreiten.
    Laut Risch und anderen führenden Krebsspezialisten haben die Fälle dieses neuen Phänomens in den vergangenen zwei Jahren rapide zugenommen! ''Wir wissen, dass die #COVID19-Impfstoffe bei einem Teil der Menschen, die sie eingenommen haben, das Immunsystem in unterschiedlichem Ausmaß geschädigt haben''.
    Viele führende Mediziner, darunter der renommierte Pathologe Ryan Cole, warnen ebenfalls vor dem Turbo-Krebs.
    „Aufgrund der Fehlregulation der Immunreaktionen und der Unterdrückung des Immunsystems durch diese genetisch veränderten Injektionen, wachsen diese Krebsarten, die normalerweise vom Körper in Schach gehalten werden, unerwartet schnell“, warnte Dr. Cole bereits in einem Interview mit Children’s Health. Defense.
    Risch behauptet weiter, ''dass die #Corona-Spritzen das körpereigene Immunsystem durcheinander bringen''. Es häufen sich Berichte über Menschen in der Blüte ihres Lebens, die plötzlich in nie gekanntem Ausmaß an Krebs erkranken.
    Ich lege den verlinkten und vollständigen Artikel allen Menschen ans Herz, die offen sind für profunde med. Expertisen ausserhalb des #Lauterbach, #RKI, #STIKO Kosmos, oder sonstigen Polit- und Medien Propagandisten wie u.v.a. der #Ampelregierung und ihren pharma-lobbyistischen Vasallen der #WHO etc.
    #BigPharma #Impfung #Wieler #Drosten


    https://uncutnews.ch/jetzt-warnt-sp





    Wer es nicht schafft sich vorzubereiten,ist dafür vorbereitet, es nicht zu schaffen.
    Aber, was weiß ich schon [smilie_happy]


    Gruss Jocky

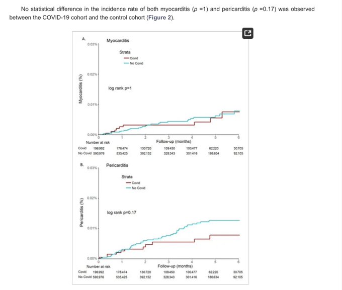
  • Laut dieser Studie gibt es keinen Zusammenhang zwischen einer COVID-19 Erkrankung und Herzkrankheiten als Folge.
    Wenn das stimmt, gehen Herzmuskelentzündungen und andere Krankheiten zu 100% auf die Impfung.


    The Incidence of Myocarditis and Pericarditis in Post COVID-19 Unvaccinated Patients—A Large Population-Based Study
    Myocarditis and pericarditis are potential post-acute cardiac sequelae of COVID-19 infection, arising from adaptive immune responses. We aimed to study the…
    www.mdpi.com

    "Ihr denkt es wird irgendwann wieder besser, wenn ihr ihnen gehorcht.
    Aber es wird nie wieder besser werden, weil ihr ihnen gehorcht"


    Netzfund, Verfasser unbekannt.

  • Externer Inhalt www.youtube.com
    Inhalte von externen Seiten werden ohne Ihre Zustimmung nicht automatisch geladen und angezeigt.
    Durch die Aktivierung der externen Inhalte erklären Sie sich damit einverstanden, dass personenbezogene Daten an Drittplattformen übermittelt werden. Mehr Informationen dazu haben wir in unserer Datenschutzerklärung zur Verfügung gestellt.





    Wer es nicht schafft sich vorzubereiten,ist dafür vorbereitet, es nicht zu schaffen.
    Aber, was weiß ich schon [smilie_happy]


    Gruss Jocky

  • Prof. Bhakdi spricht vom Aufhören: Es ist alles gesagt, jetzt müssen die Menschen handeln


    Der Verein MWGFD (“Mediziner und Wissenschaftler für Gesundheit, Freiheit und Demokratie”) wird am 18. September 2023 ein aktuelles Interview mit Prof. Sucharit Bhakdi veröffentlichen. Im heute veröffentlichten Trailer spricht Bhakdi davon, dass er alles geschrieben und alles gesagt habe. Er will einen friedlichen Ausweg aus der Situation, in welche die Welt sich momentan manövriert zu haben scheint. Die Menschen müssten nun zusammenkommen und Handlungen von der Politik einfordern.

    Prof. Dr. Sucharit Bhakdi richtet in diesem Interview – einem Vermächtnis gleich – einen berührenden, eindringlichen und hoffnungsvollen Appell an die Menschheit: „Alle müssen nur aufhören mitzumachen. Und es ist ein friedlicher Weg.“


    oder aber:


    Externer Inhalt www.youtube.com
    Inhalte von externen Seiten werden ohne Ihre Zustimmung nicht automatisch geladen und angezeigt.
    Durch die Aktivierung der externen Inhalte erklären Sie sich damit einverstanden, dass personenbezogene Daten an Drittplattformen übermittelt werden. Mehr Informationen dazu haben wir in unserer Datenschutzerklärung zur Verfügung gestellt.





    Wer es nicht schafft sich vorzubereiten,ist dafür vorbereitet, es nicht zu schaffen.
    Aber, was weiß ich schon [smilie_happy]


    Gruss Jocky

  • Das "Real Team Deutschland" aus den USA?

    Die liefern praktischer Weise gleich eine ganze Liste krimineller Vereine sowie Hass- und Hetz Slogans.

    Korrupt, gesellschaftszersetzend, ferngesteuert.

    @RealTeamDeutschland

    18 ?)

    Abonnenten

    Keine Videos

    weforum.org und 1 weiterer Link

    Beschreibung

    Wir unterstützen aktiv wie passiv:

    Elterninitiative ProImpfung

    Frühkindliche Aufklärung über die Normalität gleichgeschlechtlicher Beziehungen und Diversitäten

    Verein für sexuelle Aufklärung an Kindergärten und Schulen

    Verein zur Entglorifizierung und Umwandlung rechtsnational völkischer Symbolik und Brauchtümer e.V. (bundesweit)

    Verein zur Aufklärung über sichere Routen für Flüchtlinge und Hilfe zur sicheren Flucht e.V. (bundesweit)

    Zivile Seenotrettung von Flüchtlingen e.V. (bundesweit) KuBu -

    Verein zum Erhalt und zur Förderung der Mischkultur in Deutschland (bundesweit)

    Kirchenverband Christlich-Muslimischer Gottesdienste Deutschland Nazifrei



    Ort:Vereinigte Staaten

    Die Seele hat die Farbe deiner Gedanken. Marc Aurel (121-180)
    Die Großen werden aufhören zu herrschen, wenn die Kleinen aufhören zu kriechen. Friedrich von Schiller (1759 – 1805)
    Wer eine friedliche Revolution unmöglich macht, macht eine gewaltsame unvermeidbar. John Fitzgerald Kennedy (1917-1963)
    Ich bedaure nicht, was ich getan habe. Ich bedauere, was ich nicht getan habe.
    Ingrid Bergman (1915-1982)

    Einmal editiert, zuletzt von Lupus ()

  • Bhakdi ist so eine liebe, angenehme Person. [smilie_blume]


    Es ist wirklich absolut verrückt einfach so zu tun, als gäbe es kein Wissen um die Gefährlichkeit.

    Meine Beiträge sind: Kunst, Ironie, Satire, Polemik, Spiegelschau, Philosophie, Provokation, Idiotie und vor allem mein Grundrecht auf Meinungsfreiheit nach Art. 5 GG. <3 =)


    In a time of universal deceit - telling the truth is a revolutionary act
    -George Orwell-

  • Bhakdi, der Albtraum aller Strippenzieher.


    Ich denke, er allein hat dem ganzen Plan schon in der Frühphase irreparablen Schaden zugefügt. Einfach durch seine gewinnende Art und die stimmige Bewertung zu einem Zeitpunkt, wo fast alle noch in voller Deckung waren. Damit will ich die Leistung von niemandem schmälern, der sich um das Thema verdient gemacht hat. Aber B ist schon eine Ausnahmepersönlichkeit.


    Nichtsdestotrotz wird der Vorgang noch viel Zeit benötigen. Es hat sich ja (nicht nur) das ganze schulmedizinische Biotop als dysfunktional erwiesen. Da muß erst mal ein Masterplan her, wie das einplaniert und neu gebaut wird.


    Bis dahin sollte man sich m.E. möglichst fernhalten.

    Es ist schon alles gesagt, nur noch nicht von allen. (Karl Valentin)

  • Falls nicht schon geschehen, unbedingt das neue Buch von Michael Nehls bestellen!


    Das indoktrinierte Gehirn » Michael Nehls


    Das ist nicht einfach nur das x-te Buch zum Thema, sondern eine hervorragende Einordnung in das Große Ganze! Es liest sich auch sehr flüssig, ab und an muss man innehalten, um die Aussagen zu verdauen. Er belegt alles, steckt tief in der Materie! Einfach herrlich im Vergleich zum täglichen Expertengeschwafel. Aber auch schrecklich. Im Prinzip schließt sich auch der Kreis zu Sucharit Bhakdi: Die Täter (und leider auch die Opfer) haben es aus im Buch geschilderten Gründen schwer, aus der Sache raus zukommen! Sie müssen es aber schaffen!

  • Externer Inhalt www.youtube.com
    Inhalte von externen Seiten werden ohne Ihre Zustimmung nicht automatisch geladen und angezeigt.
    Durch die Aktivierung der externen Inhalte erklären Sie sich damit einverstanden, dass personenbezogene Daten an Drittplattformen übermittelt werden. Mehr Informationen dazu haben wir in unserer Datenschutzerklärung zur Verfügung gestellt.


    Ist euch aufgefallen, dass dieser kurze Trailer sehr viel mit meinem Prolog gemeinsam hat?


    Ist euch weiterhin aufgefallen, dass William Toel, obwohl er sich im April verabschiedet hatte und keine Vorträge mehr in Deutschland geben wollte, zurückgekommen ist und im August sogenannte "Picknicks" an vielen verschiedenen Orten abgehalten hat, bei denen stets die Hauptbotschaft lautete, dass man, sofern es auch dem tief Empfundenen entspricht, sich wahrhaftig zu Jesus Christus bekennen solle?


    Ich habe den Prolog Ende Mai/Anfang Juni geschrieben.


    Bspw. hier ab Min. 32:34:


    Externer Inhalt www.youtube.com
    Inhalte von externen Seiten werden ohne Ihre Zustimmung nicht automatisch geladen und angezeigt.
    Durch die Aktivierung der externen Inhalte erklären Sie sich damit einverstanden, dass personenbezogene Daten an Drittplattformen übermittelt werden. Mehr Informationen dazu haben wir in unserer Datenschutzerklärung zur Verfügung gestellt.


    Hier der Beweis: (Min. 0 - 4)


    Externer Inhalt www.youtube.com
    Inhalte von externen Seiten werden ohne Ihre Zustimmung nicht automatisch geladen und angezeigt.
    Durch die Aktivierung der externen Inhalte erklären Sie sich damit einverstanden, dass personenbezogene Daten an Drittplattformen übermittelt werden. Mehr Informationen dazu haben wir in unserer Datenschutzerklärung zur Verfügung gestellt.

    Nun fingen einige an, ihn anzuspeien, ihm das Gesicht zu verhüllen, ihn dann mit der Faust zu schlagen und zu ihm zu sagen: »Weissage uns!« Auch die Gerichtsdiener versetzten ihm bei der Übernahme Schläge ins Gesicht.


    Markus-Evangelium Kapitel 14, Vers 65


    https://t.me/EnergiekriseMitochondrien


    9 Mal editiert, zuletzt von Nebelparder ()

  • Ich glaube, wenn der MDR jetzt schon so etwas ausstrahlt, wird die Bombe bald endgültig ganz offiziell platzen.
    Mir tut es sehr leid um die vielen gutgläubigen Menschen, die einfach vertraut haben und jetzt am eigenen Leibe erfahren, dass sie betrogen wurden.


    austherapierter auf X
    💉🧠🫀⚰Ich glaube, wenn der MDR jetzt schon so etwas ausstrahlt, wird die Bombe bald endgültig ganz offiziell platzen. Mir tut es sehr leid um die vielen…
    x.com





    Wer es nicht schafft sich vorzubereiten,ist dafür vorbereitet, es nicht zu schaffen.
    Aber, was weiß ich schon [smilie_happy]


    Gruss Jocky

  • Mir tut es sehr leid um die vielen gutgläubigen Menschen, die einfach vertraut haben und jetzt am eigenen Leibe erfahren, dass sie betrogen wurden.

    Moin,


    der weitaus überwiegende Teil der Zeugen Coronas hat mich als Ungeimpften ohne mit der Wimper zu zucken stigmatisiert, ausgegrenzt und gegen mich gehetzt. Sie hätten sogar bei Zwangsmaßnahmen zum Schaden meiner Gesundheit applaudiert. Tut mir leid, aber jeder ist seines Glückes Schmied und Mitleid kann ich einfach nicht empfinden. Allenfalls tun mir die armen Kinder leid, die von Ihren Eltern zur Impfung geschleppt wurden.


    Grüße

    Goldhut


    Alle Mitteilungen in diesem Forum sind als reine private Meinungsäußerung zu sehen und keinesfalls als Tatsachenbehauptung. Hier gilt Artikel 5 GG und besonders Absatz 3 (Kunstfreiheit-Satire)
    Dieser Beitrag ist eine persönliche Meinung gem. Art.5 Abs.1 GG und Urteil des BVG 1 BvR 1384/16

    Einmal editiert, zuletzt von Goldhut ()

  • Der Spannde Teil kommt erst noch :D





    Wer es nicht schafft sich vorzubereiten,ist dafür vorbereitet, es nicht zu schaffen.
    Aber, was weiß ich schon [smilie_happy]


    Gruss Jocky

  • Ich glaube, wenn der MDR jetzt schon so etwas ausstrahlt, wird die Bombe bald endgültig ganz offiziell platzen.
    Mir tut es sehr leid um die vielen gutgläubigen Menschen, die einfach vertraut haben und jetzt am eigenen Leibe erfahren, dass sie betrogen wurden.


    https://x.com/austherapierter/…/1703329576821109165?s=20

    Obduktionen? [smilie_happy] Das wurde doch von Anfang an verboten. Zeigt doch was für eine kriminelle Bande das ist.

    Es wurde bereits mehrfach nachgewiesen wie schädlich die Impfung ist.



    >>>>>>>>>>>>>>Nur gemeinsam sind wir stark.>>>>>>>>>>>>>>>>>


    Eine Lüge ist bereits dreimal um die Erde gelaufen, bevor sich die Wahrheit die Schuhe anzieht. Mark Twain

  • Corona in Hessen. Macht weiter so vor der Wahl, vielleicht machen einige ihr Kreuzchen wo anders.

    Die dringende Empfehlung Maske zu tragen.

    In der Pandemie, bewährtes Hilfsmittel. :wall:

    Es werden wieder mehr, die diesen Fetzen tragen, auch im Freien.

    Sollte Maske und Co. wieder zur Pflicht werden, dann hab ich Rücken, Knie, oder was anderes, ich mach da nicht mehr mit.


    Zitat


    Ein Grund für Vorsicht – nicht alleine in Zahnarztpraxen. Die Leitung der Frankfurter Uniklinik hat an die Beschäftigten die „dringende Empfehlung“ ausgesprochen, wieder Mund-Nasen-Schutz zu tragen, sagt Jürgen Graf, Ärztlicher Direktor und Vorstandsvorsitzender. Nicht alleine wegen Corona, sondern generell als „präventive Maßnahme gegen saisonale Infektionen und dadurch bedingten Krankenstand“. Die Begeisterung des Personals halte sich in Grenzen.


    Auch im Straßenbild ist die Maske wieder zurück. Im öffentlichen Nahverkehr oder im Supermarkt sind wieder Menschen zu sehen, die sich des in der Pandemie bewährten Hilfsmittels besinnen, zum eigenen Schutz oder dem ihrer Mitmenschen.



    Alle Mitteilungen in diesem Forum sind als
    reine private Meinungsäußerung zu sehen und keinesfalls als
    Tatsachenbehauptung. Hier gilt Artikel 5 GG und besonders Absatz 3
    (Kunstfreiheit-Satire)
    Dieser Beitrag ist eine persönliche Meinung gem. Art.5 Abs.1 GG und Urteil des BVG 1 BvR 1384/16


    Wer die Wahrheit nicht weiß, der ist bloß ein Dummkopf.
    Aber wer sie weiß und sie eine Lüge nennt, der ist ein Verbrecher.


    Berthold Brecht

  • Falls nicht schon geschehen, unbedingt das neue Buch von Michael Nehls bestellen!

    Gerade bestellt.

    Vorstellung Dr. Nehls hier:

    Externer Inhalt www.youtube.com
    Inhalte von externen Seiten werden ohne Ihre Zustimmung nicht automatisch geladen und angezeigt.
    Durch die Aktivierung der externen Inhalte erklären Sie sich damit einverstanden, dass personenbezogene Daten an Drittplattformen übermittelt werden. Mehr Informationen dazu haben wir in unserer Datenschutzerklärung zur Verfügung gestellt.

    "Ihr denkt es wird irgendwann wieder besser, wenn ihr ihnen gehorcht.
    Aber es wird nie wieder besser werden, weil ihr ihnen gehorcht"


    Netzfund, Verfasser unbekannt.

  • Sie drehen seit einer Woche wieder 5 g in Städten auf um Corona zu probieren. Ich kenne schon erste kranke.

    Alles was Neo in seinen Posting wiedergibt ist natürliche Satire.


    Neo ist eine einzige Witzfigur. :S

  • Corona in Hessen. Macht weiter so vor der Wahl, vielleicht machen einige ihr Kreuzchen wo anders.

    Die dringende Empfehlung Maske zu tragen.

    In der Pandemie, bewährtes Hilfsmittel. :wall:

    Bravo, weiter so. Frage mich sowieso wo die Maskenpflicht geblieben ist. Dachte das Corona ach so gefährlich ist. Am besten kommt die Maskenpflicht in ganz Deutschland zurück, damit nach den Wahlen die Kreuzchen auf den richtigen Stellen sind. Die sollen sich nochmal richtig schön blamieren vor der Wahl. X(

Schriftgröße:  A A A A A